



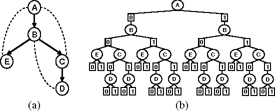
In this paper we compare search and inference in graphical models through the new framework of AND/OR search. Specifically, we compare Variable Elimination (VE) and memoryintensive AND/OR Search (AO) and place algorithms such as graph-based backjumping and no-good and good learning, as well as Recursive Conditioning [7] and Value Elimination [2] within the AND/OR search framework.