



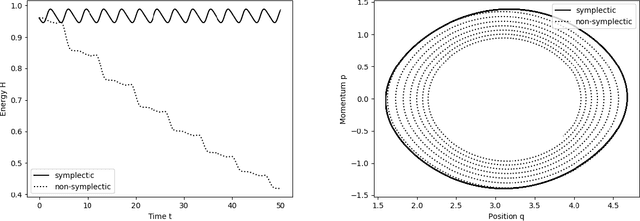
We present an approach to construct appropriate and efficient emulators for Hamiltonian flow maps. Intended future applications are long-term tracing of fast charged particles in accelerators and magnetic plasma confinement configurations. The method is based on multi-output Gaussian process regression on scattered training data. To obtain long-term stability the symplectic property is enforced via the choice of the matrix-valued covariance function. Based on earlier work on spline interpolation we observe derivatives of the generating function of a canonical transformation. A product kernel produces an accurate implicit method, whereas a sum kernel results in a fast explicit method from this approach. Both correspond to a symplectic Euler method in terms of numerical integration. These methods are applied to the pendulum and the H\'enon-Heiles system and results compared to an symmetric regression with orthogonal polynomials. In the limit of small mapping times, the Hamiltonian function can be identified with a part of the generating function and thereby learned from observed time-series data of the system's evolution. Besides comparable performance of implicit kernel and spectral regression for symplectic maps, we demonstrate a substantial increase in performance for learning the Hamiltonian function compared to existing approaches.