


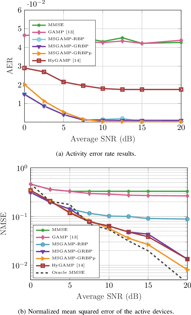
In this work, based on the hybrid generalized approximate message passing (HyGAMP) algorithm, we propose the message-scheduling GAMP (MSGAMP) algorithm in order to address the problem of joint active device detection and channel estimation in an uplink grant-free massive MIMO system scenario. In MSGAMP, we apply three different scheduling techniques based on the Residual Belief Propagation (RBP) in which messages are generated using the latest available information. With a much lower computational cost than the state-of-the-art algorithms, MSGAMP-type schemes exhibits good performance in terms of activity error rate and normalized mean squared error, requiring a small number of iterations for convergence. %