



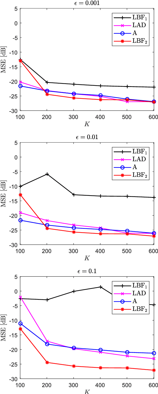
While local basis function (LBF) estimation algorithms, commonly used for identifying/tracking systems with time-varying parameters, demonstrate good performance under the assumption of normally distributed measurement noise, the estimation results may significantly deviate from satisfactory when the noise distribution is impulsive in nature, for example, corrupted by outliers. This paper introduces a computationally efficient method to make the LBF estimator robust, enhancing its resistance to impulsive noise. First, the choice of basis functions is optimized based on the knowledge of parameter variation statistics. Then, the parameter tracking algorithm is made robust using the sequential data trimming technique. Finally, it is demonstrated that the proposed algorithm can undergo online tuning through parallel estimation and leave-one-out cross-validation.