



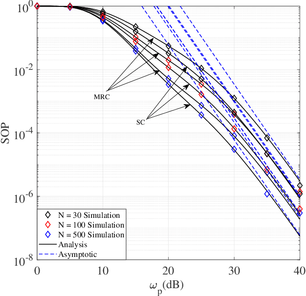
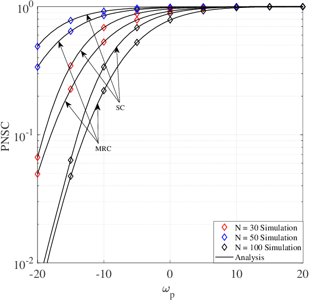
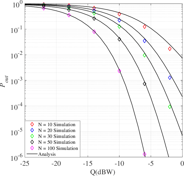
In this paper, a reconfigurable intelligent surface (RIS)-aided underlay cognitive radio network is investigated. An RIS is utilized to improve the secondary network (SN) reliability and robustness while simultaneously increasing the physical layer security of the primary network (PN). Toward this end, closedform expressions for the SN outage probability, PN secrecy outage probability, and PN probability of non-zero secrecy capacity are derived. To increase the eavesdropping signals of the PN, the eavesdropper uses two combining techniques, namely maximal ratio combining and selection combining. Furthermore, the advantages of the proposed system model are verified through numerical and simulation results.