


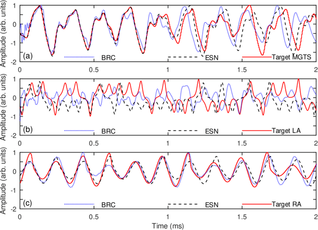
Physical reservoir computing (RC) is a computational framework, where machine learning algorithms designed for digital computers are executed using analog computer-like nonlinear physical systems that can provide high computational power for predicting time-dependent quantities that can be found using nonlinear differential equations. Here we suggest an RC system that combines the nonlinearity of an acoustic response of a cluster of oscillating gas bubbles in water with a standard Echo State Network (ESN) algorithm that is well-suited to forecast nonlinear and chaotic time series. We computationally confirm the plausibility of the proposed RC system by demonstrating its ability to forecast a chaotic Mackey-Glass time series with the efficiency of ESN.