



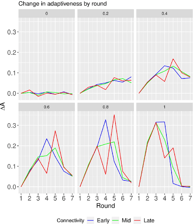
The distribution of cultural variants in a population is shaped by both neutral evolutionary dynamics and by selection pressures, which include several individual cognitive biases, demographic factors and social network structures. The temporal dynamics of social network connectivity, i.e. the order in which individuals in a population interact with each other, has been largely unexplored. In this paper we investigate how, in a fully connected social network, connectivity dynamics, alone and in interaction with different cognitive biases, affect the evolution of cultural variants. Using agent-based computer simulations, we manipulate population connectivity dynamics (early, middle and late full-population connectivity); content bias, or a preference for high-quality variants; coordination bias, or whether agents tend to use self-produced variants (egocentric bias), or to switch to variants observed in others (allocentric bias); and memory size, or the number of items that agents can store in their memory. We show that connectivity dynamics affect the time-course of variant spread, with lower connectivity slowing down convergence of the population onto a single cultural variant. We also show that, compared to a neutral evolutionary model, content bias accelerates convergence and amplifies the effects of connectivity dynamics, whilst larger memory size and coordination bias, especially egocentric bias, slow down convergence. Furthermore, connectivity dynamics affect the frequency of high quality variants (adaptiveness), with late connectivity populations showing bursts of rapid change in adaptiveness followed by periods of relatively slower change, and early connectivity populations following a single-peak evolutionary dynamic. In this way, we provide for the first time a direct connection between the order of agents' interactions and punctuational evolution.