



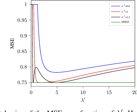
We consider the estimation of an n-dimensional vector s from the noisy element-wise measurements of $\mathbf{s}\mathbf{s}^T$, a generic problem that arises in statistics and machine learning. We study a mismatched Bayesian inference setting, where some of the parameters are not known to the statistician. We derive the full exact analytic expression of the asymptotic mean squared error (MSE) in the large system size limit for the particular case of Gaussian priors and additive noise. From our formulas, we see that estimation is still possible in the mismatched case; and also that the minimum MSE (MMSE) can be achieved if the statistician chooses suitable parameters. Our technique relies on the asymptotics of the spherical integrals and can be applied as long as the statistician chooses a rotationally invariant prior.