



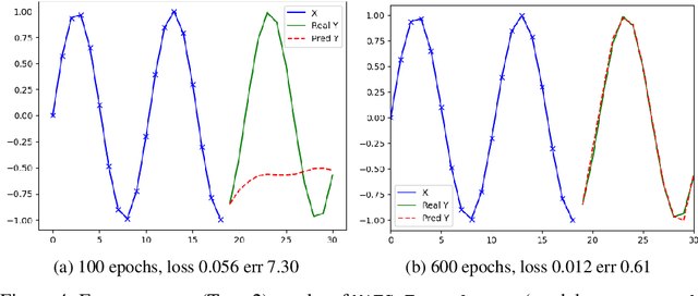
Transformer is the state-of-the-art model for many natural language processing, computer vision, and audio analysis problems. Transformer effectively combines information from the past input and output samples in auto-regressive manner so that each sample becomes aware of all inputs and outputs. In sequence-to-sequence (Seq2Seq) modeling, the transformer processed samples become effective in predicting the next output. Time series forecasting is a Seq2Seq problem. The original architecture is defined for discrete input and output sequence tokens, but to adopt it for time series, the model must be adapted for continuous data. This work introduces minimal adaptations to make the original transformer architecture suitable for continuous value time series data.