



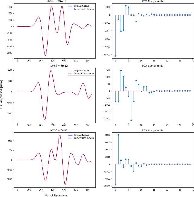
General full-wave electromagnetic solvers, such as those utilizing the finite-difference time-domain (FDTD) method, are computationally demanding for simulating practical GPR problems. We explore the performance of a near-real-time, forward modeling approach for GPR that is based on a machine learning (ML) architecture. To ease the process, we have developed a framework that is capable of generating these ML-based forward solvers automatically. The framework uses an innovative training method that combines a predictive dimensionality reduction technique and a large data set of modeled GPR responses from our FDTD simulation software, gprMax. The forward solver is parameterized for a specific GPR application, but the framework can be extended in a straightforward manner to different electromagnetic problems.