



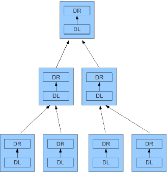
This paper introduces an elemental building block which combines Dictionary Learning and Dimension Reduction (DRDL). We show how this foundational element can be used to iteratively construct a Hierarchical Sparse Representation (HSR) of a sensory stream. We compare our approach to existing models showing the generality of our simple prescription. We then perform preliminary experiments using this framework, illustrating with the example of an object recognition task using standard datasets. This work introduces the very first steps towards an integrated framework for designing and analyzing various computational tasks from learning to attention to action. The ultimate goal is building a mathematically rigorous, integrated theory of intelligence.