


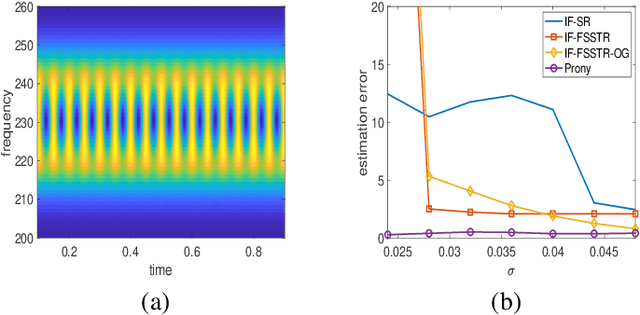
In this paper, we develop a general method to estimate the instantaneous frequencies of the modes making up a multicomponent signal when the former exhibit interference in the time-frequency plane. In particular, studying the representation given by the spectrogram, we show that it is possible to characterize the interference between the modes using the Prony method, which enables us to build a novel instantaneous frequency estimator for the mode. The relevance of the proposed approach is demonstrated by comparing it with different stateof-the art techniques based on ridge detection.