



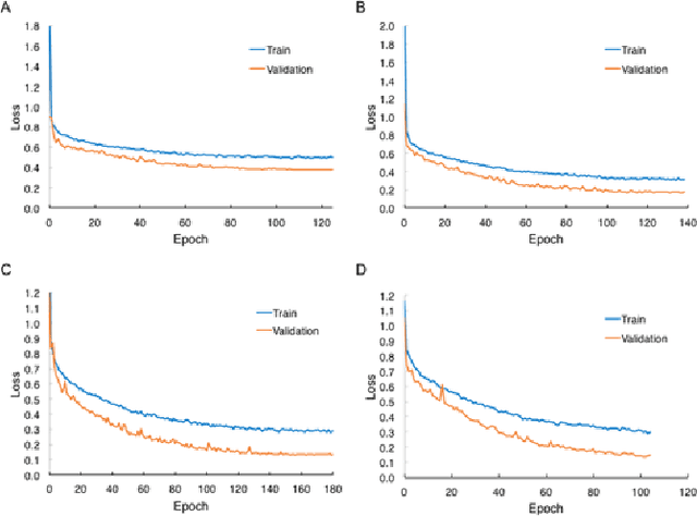
Prostate cancer is one of the most common causes of cancer deaths in men. There is a growing demand for noninvasively and accurately diagnostic methods that facilitate the current standard prostate cancer risk assessment in clinical practice. Still, developing computer-aided classification tools in prostate cancer diagnostics from multiparametric magnetic resonance images continues to be a challenge. In this work, we propose a novel deep learning approach for automatic classification of prostate lesions in the corresponding magnetic resonance images by constructing a two-stage multimodal multi-stream convolutional neural network (CNN)-based architecture framework. Without implementing sophisticated image preprocessing steps or third-party software, our framework achieved the classification performance with the area under a Receiver Operating Characteristic (ROC) curve value of 0.87. The result outperformed most of the submitted methods and shared the highest value reported by the PROSTATEx Challenge organizer. Our proposed CNN-based framework reflects the potential of assisting medical image interpretation in prostate cancer and reducing unnecessary biopsies.