



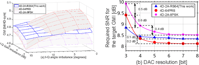
We propose a 4-dimensional 2-ary amplitude ring-switched modulation format with 64 symbols, which is denoted as 4D-2A-RS64 encoded over two polarization tributaries to improve the transmission performance over long-haul optical fibers in the presence of the non-linear Kerr effect. At a spectral efficiency of 6 bits per 4D, simulation results show that this format outperforms the polarization division multiplexed (PDM) 8QAM-star modulation as well as the 4D-2A-8PSK over links without inline dispersion management. We evaluate the performance for a WDM transmission of $11\times90~\mathrm{Gbaud}$ channels over a multi-span SSMF link. For an achievable information rate of $4.8\mathrm{bit/s/Hz}$, the maximum transmission distance is improved by $10.6\%$ (400 km) and $4\%$ (160 km) compared to PDM-8QAM-star and 4D-2A-8PSK respectively. The achieved gains are composed of a linear part and a non-linear part, respectively from the improved Euclidean-distance distribution and the constant power property of the 4D modulation. The geometric shaping of the proposed scheme is easy to implement and is robust to Mach-Zehnder modulator (MZM) imbalances and quantization errors stemming from the finite digital-to-analog converter (DAC) resolution. This robustness is compared to the one of other geometric-shaped non-linearity tolerant 4D schemes such as the 4D-2A-8PSK and the 4D-64PRS that can be both outperformed by our scheme in severe conditions.