



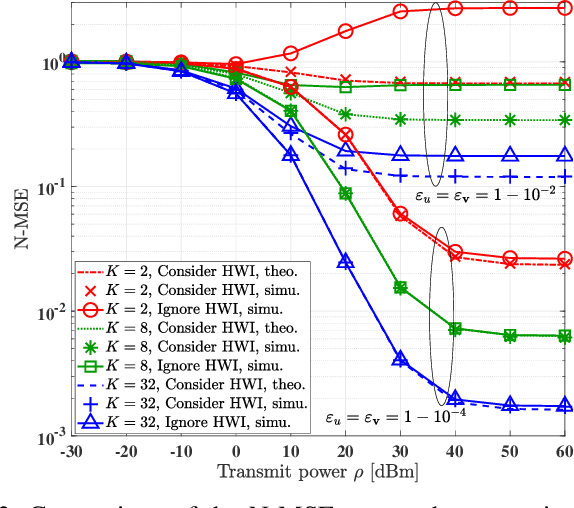
In contrast to the conventional reconfigurable intelligent surfaces (RIS), intelligent omni-surfaces (IOS) are capable of full-space coverage of smart radio environments by simultaneously transmitting and reflecting the incident signals. In this paper, we investigate the ergodic spectral efficiency of IOS-aided systems for transmission over random channel links, while considering both realistic imperfect channel state information (CSI) and transceiver hardware impairments (HWIs). Firstly, we formulate the linear minimum mean square error estimator of the equivalent channel spanning from the user equipments (UEs) to the access point (AP), where the transceiver HWIs are also considered. Then, we apply a two-timescale protocol for designing the beamformer of the IOS-aided system. Specifically, for the active AP beamformer, the minimum mean square error combining method is employed, which relies on the estimated equivalent channels, on the statistical information of the channel estimation error, on the inter-user interference as well as on the HWIs at the AP and UEs. By contrast, the passive IOS beamformer is designed based on the statistical CSI for maximizing the upper bound of the ergodic spectral efficiency. The theoretical analysis and simulation results show that the transceiver HWIs have a significant effect on the ergodic spectral efficiency, especially in the high transmit power region. Furthermore, we show that the HWIs at the AP can be effectively compensated by deploying more AP antennas.