



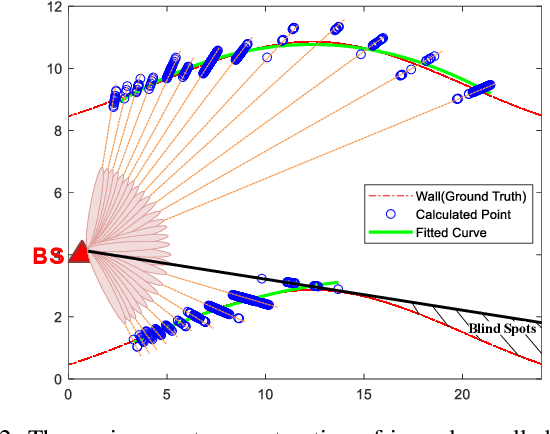
Integrated sensing and communications (ISAC) has been deemed as a key technology for the sixth generation (6G) wireless communications systems. In this paper, we explore the inherent clustered nature of wireless users and design a multi-user based environment reconstruction scheme. Specifically, we first select users based on the estimation precision of channel's multipath, including the line-of-sight (LOS) and the non-line-of-sight (NLOS) paths, to enhance the accuracy of environment reconstruction. Then, we develop a fusion strategy that merges communications signalling with camera image to increase the accuracy and robustness of environment reconstruction. The simulation results demonstrate that the proposed algorithm can achieve a remarkable sensing accuracy of centimeter level, which is about 17 times better than the scheme without user selection. Meanwhile, the fusion of communications data and vision data leads to a threefold accuracy improvement over the image only method, especially under challenging weather conditions like raining and snowing.