



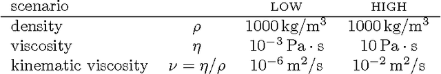
Microscopic robots could perform tasks with high spatial precision, such as acting on precisely-targeted cells in biological tissues. Some tasks may benefit from robots that change shape, such as elongating to improve chemical gradient sensing or contracting to squeeze through narrow channels. This paper evaluates the energy dissipation for shape-changing (i.e., metamorphic) robots whose size is comparable to bacteria. Unlike larger robots, surface forces dominate the dissipation. Theoretical estimates indicate that the power likely to be available to the robots, as determined by previous studies, is sufficient to change shape fairly rapidly even in highly-viscous biological fluids. Achieving this performance will require significant improvements in manufacturing and material properties compared to current micromachines. Furthermore, optimally varying the speed of shape change only slightly reduces energy use compared to uniform speed, thereby simplifying robot controllers.