

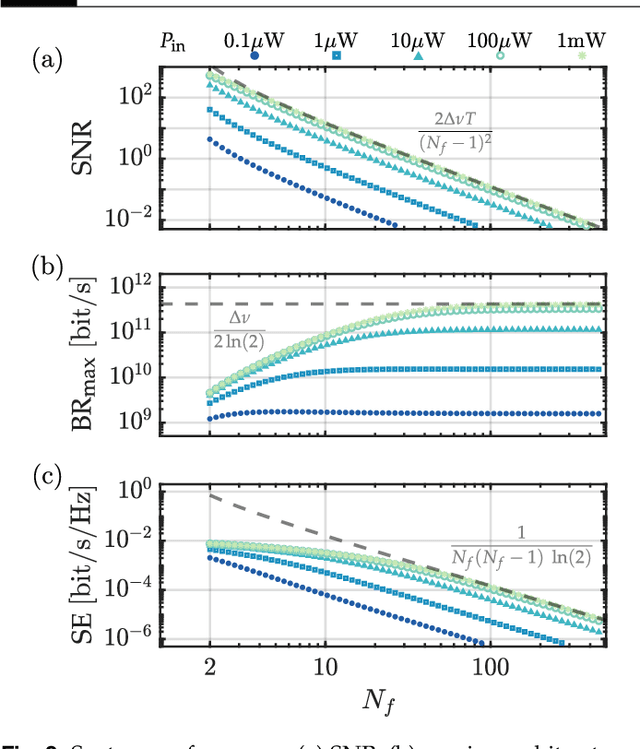
Coherence has been used as a resource for optical communications since its earliest days. It is widely used for multiplexing of data, but not for encoding of data. Here we introduce a coding scheme, which we call \textit{mutual coherence coding}, to encode information in the mutual coherence of spatially separated light beams. We describe its implementation and analyze its performance by deriving the relevant figures of merit (signal-to-noise ratio, maximum bit-rate, and spectral efficiency) with respect to the number of transmitted beams. Mutual coherence coding yields a quadratic scaling of the number of transmitted signals with the number of employed light beams, which might have benefits for cryptography and data security.