



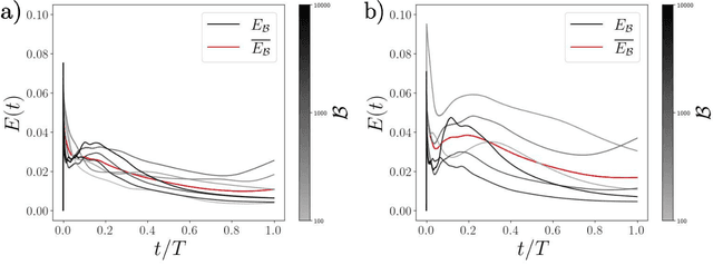
The dynamics of flexible filaments entrained in flow, important for understanding many biological and industrial processes, are computationally expensive to model with full-physics simulations. This work describes a data-driven technique to create high-fidelity low-dimensional models of flexible fiber dynamics using machine learning; the technique is applied to sedimentation in a quiescent, viscous Newtonian fluid, using results from detailed simulations as the data set. The approach combines an autoencoder neural network architecture to learn a low-dimensional latent representation of the filament shape, with a neural ODE that learns the evolution of the particle in the latent state. The model was designed to model filaments of varying flexibility, characterized by an elasto-gravitational number $\mathcal{B}$, and was trained on a data set containing the evolution of fibers beginning at set angles of inclination. For the range of $\mathcal{B}$ considered here (100-10000), the filament shape dynamics can be represented with high accuracy with only four degrees of freedom, in contrast to the 93 present in the original bead-spring model used to generate the dynamic trajectories. We predict the evolution of fibers set at arbitrary angles and demonstrate that our data-driven model can accurately forecast the evolution of a fiber at both trained and untrained elasto-gravitational numbers.