



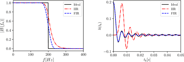
This chapter reviews the fundamentals of continuous and discrete Linear Time-Invariant (LTI) systems with Single Input-Single Output (SISO). We start from the general notions of signals and systems, the signal representation problem and the related orthogonal bases in discrete and continuous forms. We then move to the key properties of LTI systems and discuss their eigenfunctions, the input-output relations in the time and frequency domains, the conformal mapping linking the continuous and the discrete formulations, and the modeling via differential and difference equations. Finally, we close with two important applications: (linear) models for time series analysis and forecasting and (linear) digital filters for multi-resolution analysis. This chapter contains seven exercises, the solution of which is provided in the book's webpage.