



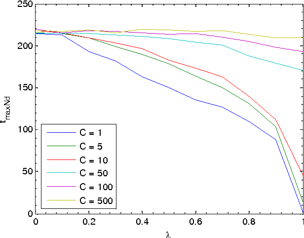
In the naming game, individuals or agents exchange pairwise local information in order to communicate about objects in their common environment. The goal of the game is to reach a consensus about naming these objects. Originally used to investigate language formation and self-organizing vocabularies, we extend the classical naming game with a globally shared memory accessible by all agents. This shared memory can be interpreted as an external source of knowledge like a book or an Internet site. The extended naming game models an environment similar to one that can be found in the context of social bookmarking and collaborative tagging sites where users tag sites using appropriate labels, but also mimics an important aspect in the field of human-based image labeling. Although the extended naming game is non-deterministic in its word selection, we show that consensus towards a common vocabulary is reached. More importantly, we show the qualitative and quantitative influence of the external source of information, i.e. the shared memory, on the consensus dynamics between the agents.