



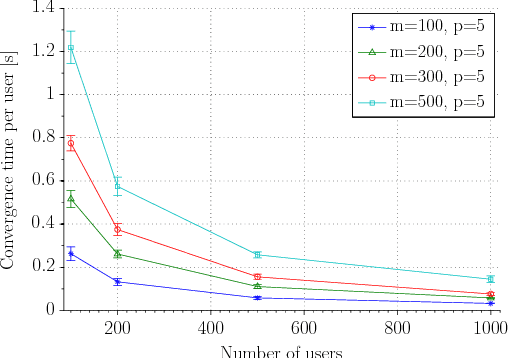
We propose a privacy-enhanced matrix factorization recommender that exploits the fact that users can often be grouped together by interest. This allows a form of "hiding in the crowd" privacy. We introduce a novel matrix factorization approach suited to making recommendations in a shared group (or nym) setting and the BLC algorithm for carrying out this matrix factorization in a privacy-enhanced manner. We demonstrate that the increased privacy does not come at the cost of reduced recommendation accuracy.