



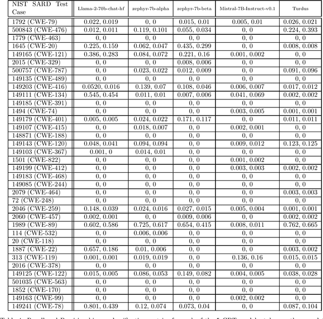
Generative Pre-Trained Transformer models have been shown to be surprisingly effective at a variety of natural language processing tasks -- including generating computer code. We evaluate the effectiveness of open source GPT models for the task of automatic identification of the presence of vulnerable code syntax (specifically targeting C and C++ source code). This task is evaluated on a selection of 36 source code examples from the NIST SARD dataset, which are specifically curated to not contain natural English that indicates the presence, or lack thereof, of a particular vulnerability. The NIST SARD source code dataset contains identified vulnerable lines of source code that are examples of one out of the 839 distinct Common Weakness Enumerations (CWE), allowing for exact quantification of the GPT output classification error rate. A total of 5 GPT models are evaluated, using 10 different inference temperatures and 100 repetitions at each setting, resulting in 5,000 GPT queries per vulnerable source code analyzed. Ultimately, we find that the GPT models that we evaluated are not suitable for fully automated vulnerability scanning because the false positive and false negative rates are too high to likely be useful in practice. However, we do find that the GPT models perform surprisingly well at automated vulnerability detection for some of the test cases, in particular surpassing random sampling, and being able to identify the exact lines of code that are vulnerable albeit at a low success rate. The best performing GPT model result found was Llama-2-70b-chat-hf with inference temperature of 0.1 applied to NIST SARD test case 149165 (which is an example of a buffer overflow vulnerability), which had a binary classification recall score of 1.0 and a precision of 1.0 for correctly and uniquely identifying the vulnerable line of code and the correct CWE number.