



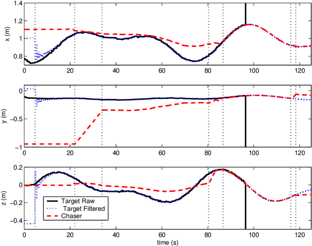
The robustness and accuracy of a vision system for motion estimation of a tumbling target satellite are enhanced by an adaptive Kalman filter. This allows a vision-guided robot to complete the grasping of the target even if occlusion occurs during the operation. A complete dynamics model, including aspects of orbital mechanics, is incorporated for accurate estimation. Based on the model, an adaptive Kalman filter is developed that estimates not only the system states but also all the model parameters such as the inertia ratio, center-of-mass, and the rotation of the principal axes of the target satellite. An experiment is conducted by using a robotic arm to move a satellite mockup according to orbital mechanics while the satellite pose is measured by a laser camera system. The measurements are sent to the Kalman filter, which, in turn, drives another robotic arm to grasp the target. The results demonstrate successful grasping even if the vision system is blocked for several seconds.