



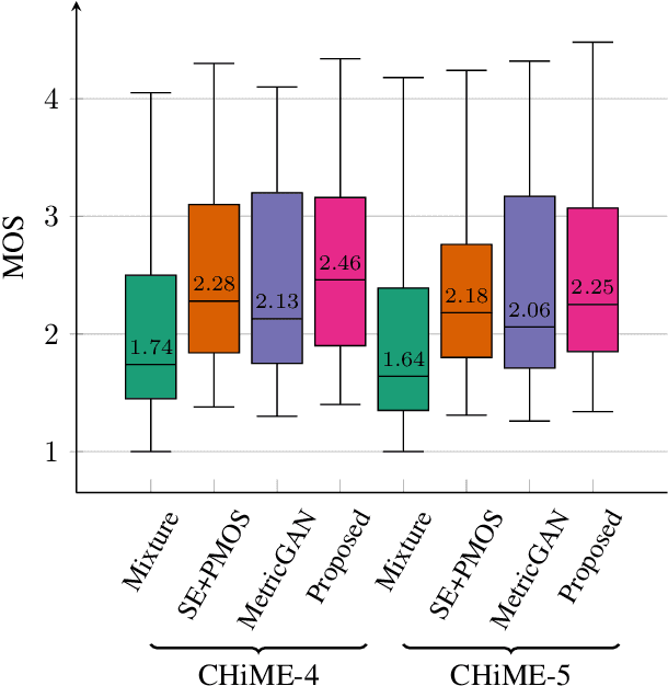
Perceptually-inspired objective functions such as the perceptual evaluation of speech quality (PESQ), signal-to-distortion ratio (SDR), and short-time objective intelligibility (STOI), have recently been used to optimize performance of deep-learning-based speech enhancement algorithms. These objective functions, however, do not always strongly correlate with a listener's assessment of perceptual quality, so optimizing with these measures often results in poorer performance in real-world scenarios. In this work, we propose an attention-based enhancement approach that uses learned speech embedding vectors from a mean-opinion score (MOS) prediction model and a speech enhancement module to jointly enhance noisy speech. The MOS prediction model estimates the perceptual MOS of speech quality, as assessed by human listeners, directly from the audio signal. The enhancement module also employs a quantized language model that enforces spectral constraints for better speech realism and performance. We train the model using real-world noisy speech data that has been captured in everyday environments and test it using unseen corpora. The results show that our proposed approach significantly outperforms other approaches that are optimized with objective measures, where the predicted quality scores strongly correlate with human judgments.