



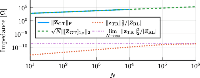
This paper studies the receiver to transmitter antenna coupling in near-field communications with massive arrays. Although most works in the literature consider that it is negligible and approximate it by zero, there is no rigorous analysis on its relevance for practical systems. In this work, we leverage multiport communication theory to obtain conditions for the aforementioned approximation to be valid in MISO and SIMO systems. These conditions are then particularized for arrays with fixed inter-element spacing and arrays with fixed size.