



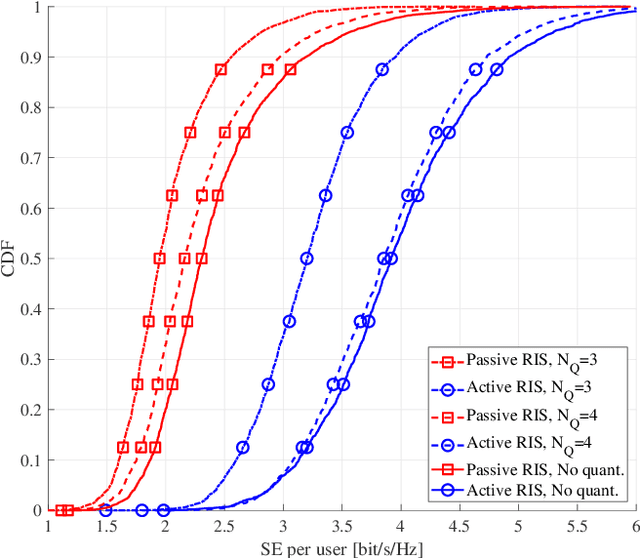
This paper considers an antenna structure where a (non-large) array of radiating elements is placed at short distance in front of a reconfigurable intelligent surface (RIS). This structure is analyzed as a possible emulator of a traditional MIMO antenna with a large number of active antenna elements and RF chains. Focusing on both the cases of active and passive RIS, we tackle the issues of channel estimation, downlink signal processing, power control, and RIS configuration optimization. With regard to the last point, an optimization problem is formulated and solved, both for the cases of active and passive RIS, aimed at minimizing the channel signatures cross-correlations and thereby reducing the interference. Downlink spectral efficiency (SE) formulas are also derived by using the popular hardening lower-bound. Numerical results, represented with reference to max-fairness power control, show that the proposed structure is capable of outperforming conventional non-RIS aided MIMO systems even when the MIMO system has a considerably larger number of antennas and RF chains. The proposed antenna structure is thus shown to be able to approach massive MIMO performance levels in a cost-effective way with reduced hardware resources.