



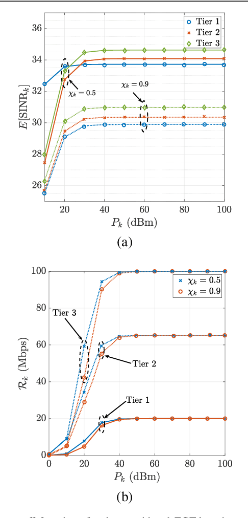
By utilizing the combination of two powerful tools i.e., stochastic geometry (SG) and evolutionary game theory (EGT), in this paper, we study the problem of mobile user (MU) mode selection in heterogeneous sub-$6$ GHz/millimeter wave (mmWave) cellular networks. Particularly, by using SG tools, we first propose an analytical framework to assess the performance of the considered networks in terms of average signal-to-interference-plus-noise (SINR) ratio, average rate, and mobility-induced time overhead, for scenarios with user mobility{.} According to the SG-based framework, an EGT-based approach is presented to solve the problem of access mode selection. Specifically, two EGT-based models are considered, where for each MU its utility function depends on the average SINR and the average rate, respectively, while the time overhead is considered as a penalty term. A distributed algorithm is proposed to reach the evolutionary equilibrium, where the existence and stability of the equilibrium is theoretically analyzed and proved. Moreover, we extend the formulation by considering information delay exchange and evaluate its impact on the convergence of the proposed algorithm. Our results reveal that the proposed technique can offer better spectral efficiency and connectivity in heterogeneous sub-$6$ GHz/mmWave cellular networks with mobility, compared with the conventional access mode selection techniques.