



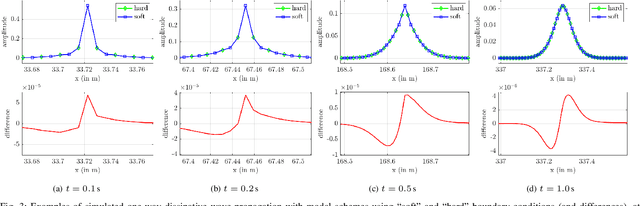
Air absorption is an important effect to consider when simulating room acoustics as it leads to significant attenuation in high frequencies. In this study, an offline method for adding air absorption to simulated room impulse responses is devised. The proposed method is based on a modal scheme for a system of one-dimensional dissipative wave equations, which can be used to post-process a room impulse response simulated without air absorption, thereby incorporating missing frequency-dependent distance-based air attenuation. Numerical examples are presented to evaluate the proposed method, along with comparisons to existing filter-based methods.