



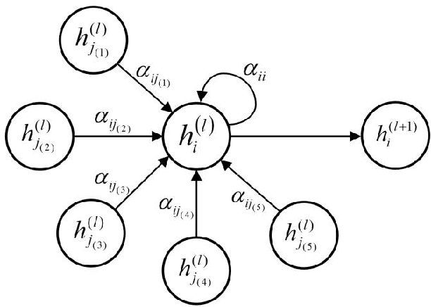
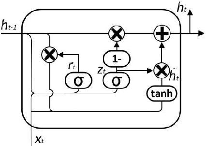
Anomaly detection is widely used to distinguish system anomalies by analyzing the temporal and spatial features of wireless sensor network (WSN) data streams; it is one of critical technique that ensures the reliability of WSNs. Currently, graph neural networks (GNNs) have become popular state-of-the-art methods for conducting anomaly detection on WSN data streams. However, the existing anomaly detection methods based on GNNs do not consider the temporal and spatial features of WSN data streams simultaneously, such as multi-node, multi-modal and multi-time features, seriously impacting their effectiveness. In this paper, a novel anomaly detection model is proposed for multimodal WSN data flows, where three GNNs are used to separately extract the temporal features of WSN data flows, the correlation features between different modes and the spatial features between sensor node positions. Specifically, first, the temporal features and modal correlation features extracted from each sensor node are fused into one vector representation, which is further aggregated with the spatial features, i.e., the spatial position relationships of the nodes; finally, the current time-series data of WSN nodes are predicted, and abnormal states are identified according to the fusion features. The simulation results obtained on a public dataset show that the proposed approach is able to significantly improve upon the existing methods in terms of its robustness, and its F1 score reaches 0.90, which is 14.2% higher than that of the graph convolution network (GCN) with long short-term memory (LSTM).