



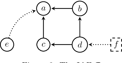
Recently, qualitative uncertainty in abstract argumentation has received much attention. The first works on this topic introduced uncertainty about the presence of attacks, then about the presence of arguments, and finally combined both kinds of uncertainty. This results in the Incomplete Argumentation Framework (IAFs). But another kind of uncertainty was introduced in the context of Control Argumentation Frameworks (CAFs): it consists in a conflict relation with uncertain orientation, i.e. we are sure that there is an attack between two arguments, but the actual direction of the attack is unknown. Here, we formally define Rich IAFs, that combine the three different kinds of uncertainty that were previously introduced in IAFs and CAFs. We show that this new model, although strictly more expressive than IAFs, does not suffer from a blow up of computational complexity. Also, the existing computational approach based on SAT can be easily adapted to the new framework.