

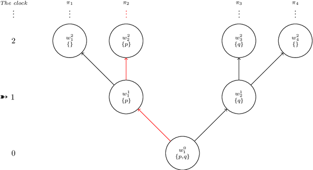
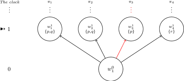
Ontic necessities are those modalities universally quantifying over domains of ontic possibilities, whose ``existence'' is independent of our knowledge. An ontic necessity, called the weak ontic necessity, causes interesting questions. An example for it is ``I should be dead by now''. A feature of this necessity is whether it holds at a state has nothing to do with whether its prejacent holds at the state. Is there a weak epistemic necessity expressed by ``should''? Is there a strong ontic necessity expressed by ``must''? How do we make sense of the strong and weak ontic necessities formally? In this paper, we do the following work. Firstly, we recognize strong/weak ontic/epistemic necessities and give our general ideas about them. Secondly, we present a complete logical theory for the strong and weak ontic necessities in branching time. This theory is based on the following approach. The weak ontic necessity quantifies over a domain of expected timelines, determined by the agent's system of ontic rules. The strong ontic necessity quantifies over a domain of accepted timelines, determined by undefeatable ontic rules.