



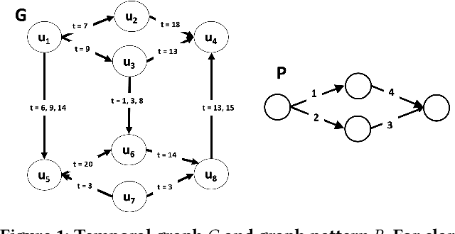
The primary objective of graph pattern matching is to find all appearances of an input graph pattern query in a large data graph. Such appearances are called matches. In this paper, we are interested in finding matches of interaction patterns in temporal graphs. To this end, we propose a hybrid approach that achieves effective filtering of potential matches based both on structure and time. Our approach exploits a graph representation where edges are ordered by time. We present experiments with real datasets that illustrate the efficiency of our approach.