



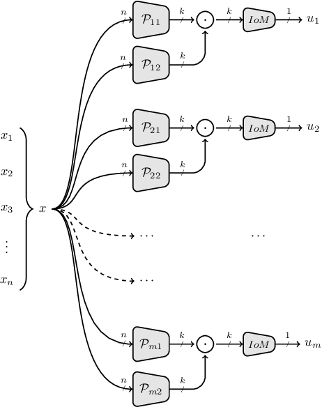
Cancelable biometric schemes generate secure biometric templates by combining user specific tokens and biometric data. The main objective is to create irreversible, unlinkable, and revocable templates, with high accuracy in matching. In this paper, we cryptanalyze two recent cancelable biometric schemes based on a particular locality sensitive hashing function, index-of-max (IoM): Gaussian Random Projection-IoM (GRP-IoM) and Uniformly Random Permutation-IoM (URP-IoM). As originally proposed, these schemes were claimed to be resistant against reversibility, authentication, and linkability attacks under the stolen token scenario. We propose several attacks against GRP-IoM and URP-IoM, and argue that both schemes are severely vulnerable against authentication and linkability attacks. We also propose better, but not yet practical, reversibility attacks against GRP-IoM. The correctness and practical impact of our attacks are verified over the same dataset provided by the authors of these two schemes.