



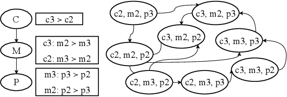
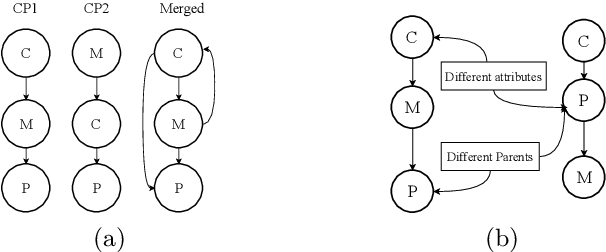
We propose a novel CP-Net based composition approach to qualitatively select an optimal set of consumers for an IaaS provider. The IaaS provider's and consumers' qualitative preferences are captured using CP-Nets. We propose a CP-Net composability model using the semantic congruence property of a qualitative composition. A greedy-based and a heuristic-based consumer selection approaches are proposed that effectively reduce the search space of candidate consumers in the composition. Experimental results prove the feasibility of the proposed composition approach.